Background: Cytogenetic abnormalities in multiple myeloma are known to influence the clinical presentation, treatment results, as well as disease outcome. Presence of hyperdiploidy, especially trisomies have a favorable impact on disease outcomes, even among patients with high risk abnormalities. In a proportion of these patients, up to 4 copies of several chromosomes (tetrasomy) can be seen and the prognostic relevance of this finding is unclear. In the current study, we have examined the patients with newly diagnosed MM to determine the prevalence and clinical outcomes in the patients with tetrasomy.

Patients and methods: This retrospective study included NDMM patients seen between 5/1/2004 and 12/31/2015, with bone marrow plasma cell FISH performed within 1 year prior to diagnosis or 6 months after diagnosis. FISH was performed on bone marrow aspirates and patients with insufficient plasma cells or no plasma cells seen on the FISH test were excluded from the study. The survival analysis was done using the Kaplan- Meier curves and compared using the log rank test. Cox proportional hazards models were used to evaluate the prognostic relevance of the variables.

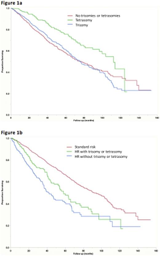
Results: The median age was 64 years and 60% were male. The median follow-up for the entire cohort was 62.6 months (95% CI; 59, 66) and the median overall survival was 80.4 months (95% CI; 74, 90). Tetrasomies of one or more chromosomes were seen in 14% of patients, trisomies without tetrasomies were seen in 40% of patients and in the remaining 46% of patients, neither trisomies or tetrasomies of any chromosomes were observed. Among the 227 patients with tetrasomies, the most common chromosomes were chr 9 (51%), chr 15 (40%) and chr 11 (30%). High risk FISH abnormalities (t(4;14), t(14;16), t(14;20) or del 17p) were seen in 22% of patients. The median overall survival of patients with one or more tetrasomies was superior at 112 months (95% CI; 97, NR) compared with those with trisomies alone (75 months, 95% CI; 67, 85) and those with neither (77.7 months, 95% CI; 67, 90); p<0.001 (Figure 1a). Among those with tetrasomies, those with tetrasomies of more than 1 chromosome had better OS (NR vs 100 months; p<0.05). The median OS for those with any high-risk abnormality was 49 months (95%CI; 42, 60) compared with 92 months (95% CI; 83, 103), p < 0.0001. Looking at concomitant abnormalities, patients with HR abnormalities with concurrent trisomy or tetrasomy had a better OS compared with those with HR and no overlapping abnormality (58 months vs. 42 months), but both inferior to those with no HR abnormalities (92 months), p<0.001 (Figure 1b).

Conclusion: Patients with trisomy/ tetrasomy have a better survival than patients with trisomy alone or other chromosomal abnormalities. Increasing number of chromosomes with tetrasomy appear to improve the survival pointing towards a dose effect. Concomitant trisomy/ tetrasomy and high risk appear to improve the outcomes of those with high risk abnormalities.

Disclosures

Kumar: Skyline: Honoraria; Celgene, Millennium/Takeda, Onyx, AbbVie, Janssen, Sanofi, Novartis, Amgen, Genentech, Merck, Oncopeptides, Roche, Skyline Diagnostics: Research Funding; Celgene, Millennium, BMS, Onyx, Janssen, Noxxon, AbbVie, Amgen, Merck, Oncopeptides, Skyline Diagnostics, Takeda: Consultancy. Gertz: Millennium: Consultancy, Honoraria; Celgene, Novartis, Smith-Kline, Prothena, Ionis, Amgen: Honoraria. Dispenzieri: Celgene, Millenium, Pfizer, Janssen: Research Funding. Russell: Vyriad: Equity Ownership; Imanis Life Sciences: Equity Ownership. Kapoor: Takeda, Celgene and Amgen: Research Funding.

Author notes

*

Asterisk with author names denotes non-ASH members.

Sign in via your Institution